- NOLD鋁合金軌道/鋁合金滑軌
-
品牌NOLD諾力頓
| 型號 | S、M、L、XL型 | |
| 額定載荷 | 250kg~1200kg | |
| 行程 | ||
| 氣壓 | ||
| 提升速度 | ||
| 耗氣量 | ||
| 重量 | 5.3kg~10.7kg | |
NOLD鋁合金軌道/鋁合金滑軌
2018-10-22 09:47:44瀏覽: 7899次
NOLD鋁合金軌道、鋁合金滑軌,是國產諾力頓NOLD品牌鋁合金軌道,采用天然鋁材,美觀不掉漆,具備輕量、運行阻力低于0.3%、低噪音等特性,是一款輕量的物料懸掛輸送系統。
相比普通剛性軌道,鋁合金軌道具備優異的防塵、防銹蝕性,更適合對環境清潔度要求高的如:無塵室、食品加工中心、潔凈室等、想打造美觀生產線的汽車制造生產車間、涂裝車間、生產制造車間等場合使用。
NOLD鋁合金軌道實物圖片:

搭配使用:鋁合金滑軌可與同品牌諾力頓氣動葫蘆、不同品牌氣動平衡器(載荷需相適應)等提升工具配合使用,用于頻繁吊運的場合,降低勞動強度提高生產效率。
NOLD鋁合金軌道技術參數:

| 型號 | 載荷 |
平面面積力矩(l y/lz) |
阻力矩(Wy/WZ) |
A (mm) |
B (mm) |
C (mm) |
H (mm) |
自重 (M) |
| S | 250kg | 235cm4/ 214cm4 | 42cm3/44cm3 | 30 | 96 | 25 | 105 | 5.3kg |
| M | 500kg | 605cm4/ 336cm4 | 85cm3/67cm3 | 30 | 100 | 25 | 140 | 7.2kg |
| L | 750kg | 1210cm4/438cm4 | 133cm3/86cm3 | 30 | 100 | 25 | 180 | 8.8kg |
| XL | 1200kg | 2201cm4/525cm4 | 197cm3/104cm3 | 30 | 100 | 25 | 220 | 10.7kg |
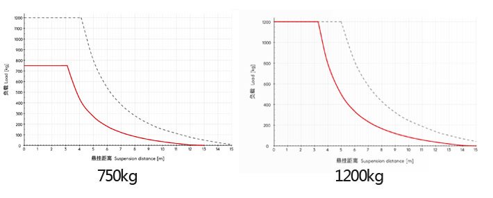
NOLD鋁合金軌道曲線圖:


NOLD鋁合金軌道結構簡單組裝方便,配件可單獨拆卸可重復使用,同時可提供單獨配件供應。
